AI Don't Believe It
The 21st Century Victor Meldrew is (slowly) embracing technology
J. Craig Evans
11/10/20252 min read
I apologise. I really do.
My intention is to update things weekly. Blog posts, quotes, challenges... but the challenges of accepting a new normal in a new establishment, my examination work for EdExcel which is now all year round, as well as trying to support students from my previous school through a school closure during their GCSE year, has meant I am not posting as frequently as I would like. (You may consider it a blessing...)
This workload is here to stay, and I have to find ways to adapt. So, I decided to see how AI handled the job of writing worked solutions for my A2 Resources. After all, that's an important job (much of the site's through traffic is based on visitors looking for exercises, and they'll want to check their answers, right?) and a time-consuming one.
So, I tasked AI with the following prompt:
"I am a mathematics teacher writing an A-Level textbook. I have written some exercises, and would like you to complete two tasks for me please:
Write a concise set of worked solutions for each exercise that I upload.
Produce a summary page of the answers for each exercise.
Please ensure that the solutions are rendered using full LaTeX." (This last stipulation was added when a first attempt brought me a mess of code to untangle.
Gemini 2.5 Pro was the AI of choice for this task, through Google AI Studio. I had aborted attempts at using AI a year ago when I found its solutions entirely unreliable - how had it improved over twelve months?
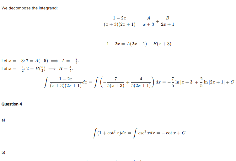
The following are excerpts from its output on one exercise (which contained a mix of notational and pictorial questions):
Not bad... not bad at all!
Not perfect, either - oddly enough, no mathematical errors but some 'misreads' (especially of fractions with multiple terms in the numerator, or limits of integration - perhaps the AI needs glasses? Didn't see that coming...). But, an amazing platform to start from - and I've made it an exercise for my students to find any errors from the AI to be immortalised on the website as one of the proof-readers if they so wish!
AI being useful? (A)I don't believe it... but I'm starting to.



